Betreff:

Zentrale Experimente Physik GOSt

StartseiteFadenstrahlrohr und e/m-Bestimmung → Homogenität des Helmholtzspulen-Magnetfelds

 

Mit dem Fadenstrahlrohr kann über die Bewegung von Elektronen einer gewissen Anfangsgeschwindigkeit, wie sie sie beispielsweise in der Beschleunigungsstrecke einer Elektronenkanone erhalten, in einem homogenen Magnetfeld deren spezifische Ladung $\frac{e}{m}$ experimentell ermittelt werden. Ein homogenes Magnetfeld gewährleistet dabei eine konstante Lorentzkraft, wenn sich die Elektronen anfangs senkrecht zu diesem bewegen.

Homogenität des Helmholtzspulen-Magnetfelds

Mit dem nachfolgenden IBE soll das Magnetfeld eines Helmholtzspulenpaares in der Mittelebene zwischen den beiden Spulen gemessen werden, um zu prüfen, inwieweit dieses betragsmäßig nahezu konstant ist.
Schalten Sie dazu das Netzgerät im linken Teil des IBE ein, damit ein elektrischer Strom der Stromstärke $I=1A$ durch die Helmholtzspulen fließt. Das Messgerät im rechten IBE-Teil zeigt dann die mittels einer Hallsonde registrierte Stärke $B$ des Magnetfelds in mT.
Bewegen Sie anschließend die Messsonde langsam hin und her und beobachten Sie dabei die angezeigte Magnetfeldstärke.
Lassen Sie sich auch durch einen Klick auf den Button "Röhre" die Position der Sonde innerhalb des Helmholtzspulenpaares relativ zum Fadenstrahlrohr anzeigen.

Messen Sie, soweit verfügbar, die Magnetfeldstärke in dem Raumbereich, den die Röhre einnimmt.

Jemand behauptet, das IBE hätte neben der Messung in der Horizontalen (x-Richtung) auch die Messung in der Vertikalen (y-Richtung) zur Verfügung stellen müssen, um eine Aussage für den gesamten Raumbereich in der Mittelebene innerhalb des Helmholtzspulenpaares machen zu können. Nehmen Sie dazu Stellung.

Sehen Sie sich zunächst mit dem IBE auf dieser Seite an, dass sich Elektronen tatsächlich auch nach vorne bzw. hinten, also in z-Richtung, bewegen können, wenn man das Fadenstrahlrohr in seiner Halterung leicht dreht.

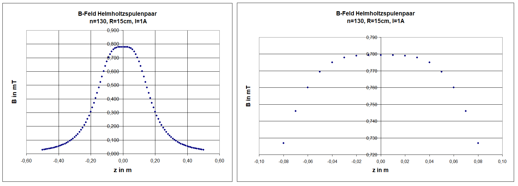
Zeigt die Richtung der Elektronenkanone im Fadenstrahlrohr nicht exakt nach oben, also nicht genau senkrecht zum horizontalen Magnetfeld der Helmholtzspulen, sondern ist sie infolge eines Verdrehens der gesamten Röhre leicht nach vorne oder hinten geneigt, haben die Elektronen nach dem Austritt aus der Elektronenkanone auch eine Geschwindigkeitskomponente nach vorne bzw. hinten. Um die sich dann ergebenden Bahnen der Elektronen erklären zu können, sind auch Kenntnisse über das Magnetfeld vor bzw. hinter der Mittelebene des Spulenpaares (also in z-Richtung) nötig. Zumindest für die Berechnung der Stärke des Magnetfelds auf der z-Achse selbst, also auf der Mittelachse durch beide Spulen hindurch, kann man eine Formel angeben, sie lautet:

$B(z)=\frac{\mu_{0}\cdot I\cdot n}{2}\cdot \left ( \frac{R^{2}}{\sqrt{\left (z+\frac{R}{2} \right )^{2}+R^{2}}^{3}}+\frac{R^{2}}{\sqrt{\left (z-\frac{R}{2} \right )^{2}+R^{2}}^{3}} \right )$

Dabei bedeuten $n$ die Windungszahl jeder beiden Helmholtzspulen, $R$ deren Radius, $I$ die Stromstärke durch die Spulen und $z$ die Entfernung vom Mittelpunkt zwischen den beiden Spulen auf der z-Achse.

Hinweis: Im Internet finden Sie verschiedene grafische Präsentationen von Ergebnissen von Simulationsrechnungen zum Magnetfeld von Helmholtzspulen. Gehen Sie auf die Suche...

Erstellen Sie beispielsweise mit Hilfe eines Tabellenkalkulationsprogramms eine Tabelle zur Berechnung der $B(z)$-Werte und lassen Sie sich die berechneten Werte auch grafisch darstellen. Prüfen Sie, ob die Stärke des Magnetfelds auf der Achse im inneren Bereich des Helmholtzspulenpaares in z-Richtung um weniger als 5% variiert.

Tipp

Nehmen Sie kritisch Stellung zu der Aussage, dass die obige Messung die Homogenität des Magnetfelds im Raumbereich innerhalb des Helmholtzspulenpaares weitgehend bestätigt habe.

Homogenität eines Felds bedeutet, dass sein Betrag und seine Richtung konstant sind.

Layer 1

119/255